开源镰刀 Open Rug 25 – 传播定价模型: 猜疑链与真实世界注意力(RWA)

加密韦陀1年前 (2025)更新 cryptobaby
493 0 0

本文作者:加密韋馱|Crypto V🇹🇭@thecryptoskanda。发文时间:下午4:08 · 2025年3月10日


请想象你和你的同伙站在一颗核弹的爆炸范围内。爆炸瞬间,有人灰飞烟灭,有人肢体横飞,有人烧成人型焦炭,有人重度烧伤,有人则是双目失明、皮肤灼伤。

听起来很吓人?

那么试着把核弹换成一个新币的发射和传播路径:

有人在内盘塞入,瞬间万倍;有人 10x;有人翻倍出本;有人挂在山顶,成为下一个故事里的受害者。
你见过多少人在骂 $Libra 和 $TRUMP 的同时,却催着 Kanye 发币?为什么他们明知可能被割,还一定要去追?

不是他们蠢,也不是他们单纯热爱亏钱,而是传播规律使然。这套规律不仅适用于 Crypto,也适用于真实世界中一切信息套利的游戏。让我们潜入进去🔻

正向猜疑链 – 如何制造一场FOMO

我不确定我的读者中有多少是小学还是博士以上学历,但我姑且假设大家都读过《三体》。在《三体》的世界观中,有一个重要的基本定理——猜疑链:

“我不知道你是否怀有善意;我也不知道你是否认为自己是善意;更无法假设你是否认为我是善意的。”
在这种“黑暗森林”情境下,文明之间既无法交流来确认对方意图,也不能选择沉默放任对方坐大。因此,唯一的最优解是先发制人,直接摧毁对方。开源镰刀 Open Rug 25 - 传播定价模型: 猜疑链与真实世界注意力(RWA)

这是一种终极 PVP 的囚徒困境,所有行为都会不可避免地走向“确保摧毁”的结局。

刘慈欣构建的场景是宇宙文明间的对抗,而在 Crypto 交易市场中,我们可以逆向工程出一个类似的“黑暗森林零和死局”:FOMO(Fear of Missing Out,即“害怕错过”)

FOMO 交易的“正向猜疑链”

在市场 FOMO 状态下,市场形成一种不可避免的买入合力,我们可以拆解出三条类似“猜疑链”的逻辑:

1. 杜绝交流的可能性

市场趋势变化极快,在必须做出决策前,个体间几乎没有足够的时间进行充分交流和理性分析。换句话说,市场不允许“文明之间”坐下来好好谈谈。

2. 制造一个尽可能多人共识的“零和预期”

这里的“角度”指的是事件的投资逻辑。例如,先买入者的盈利必然以后买入者的机会成本为代价。所有市场理性参与者都清楚这点。当所有人都知道“后买的人一定亏”时,市场会形成“必须先买”的共识。

3. 制造无法承受的机会成本

FOMO 之所以有效,是因为踏空的代价过大。眼看着其他人因为这一事件暴富,而自己因犹豫错过,将导致极大的心理折磨,甚至形成毁灭性的身心伤害。最终,市场中的大多数人都会被迫选择买入,甚至孤注一掷。

这三个因素共同作用,形成了FOMO 状态下的“正向猜疑链”。它的“正向性”在于:它促使市场参与者做出“买入”这个符合设计目的的行为,并且是不可避免的

案例:$TRUMP 发射当天的市场情绪

开源镰刀 Open Rug 25 - 传播定价模型: 猜疑链与真实世界注意力(RWA)

以 特朗普 代币发行当天为例,这种“正向猜疑链”是如何驱动市场的:
当 Trump 发币的消息一出来,市场立即拉盘,市值暴涨。尽管有人怀疑消息的真实性,但市场的反应快到根本来不及验证。

经过简单验证确认并非盗号后,市场得出结论:“外部资金一定会买”,这是一个不可逆的交易逻辑(角度)。

地球球长亲自发币,这种级别的事件极度稀缺,错过就是历史性损失。市场共识是:“踏空的话,不仅会亏钱,甚至会被群友嘲笑一辈子。”

因此,市场上的绝大多数人别无选择,只能买入,甚至梭哈。

开源镰刀 Open Rug 25 - 传播定价模型: 猜疑链与真实世界注意力(RWA)

FOMO 交易强度的决定因素

那么,一个事件的 FOMO 效应有多强,主要取决于以下三个因素:

趋势形成的速度

越快的市场反应,个体的交流和分析时间越少,交易行为越接近本能反应。

对 FOMO 交易逻辑(角度)的共识范围

这个“角度”是否能被市场大多数人认同?共识范围越大,FOMO 效应就越强。

事件本身的稀缺性与不可复制性

事件越独特、越难以复现,市场对其“错过即终身遗憾”的认知就越强,从而推动更强的 FOMO 购买行为。

人群的资金实力

这才是大部分人没考虑到的变量——如果 FOMO 的主要传播群体没有足够的资金,价格很快就会崩溃。

传播定价模型- 让FOMO变得可计量

伟大无法被计划,但 FOMO 可以。

在 Crypto 市场中,FOMO是一种可被工程化、塑造、甚至量化的市场情绪。虽然“伟大”无法被计划,但 FOMO 的制造却有迹可循。

如果想要制造一场 FOMO,前文提到的三大要素中,最容易控制的是第一点(趋势速度)。因为前期的拉盘和市场造势的力度,是项目方可控的。而 第二点(叙事角度的市场共识),则涉及如何找到市场公认的“高定价”角度,并利用市场的认知滞后性(即信息外溢导致定价降低)。

至于 第三点(事件的稀缺性和不可复制性),这是最难以人为操控的。任何能被计划的东西,本质上就不再稀缺,也就容易被复制。 但市场中仍然存在机会——如果能够利用市场参与者对于稀缺性的认知差异,就可以通过“定价差”制造 FOMO。

案例:Crypto AI 叙事的 FOMO 演进(2024年 11 月 – 2025 年 2 月)

一个典型的例子就是 Crypto AI 叙事的快速崛起与消亡。这个周期大致经历了以下阶段:

制造信息断层,让交易者无法交流:VC 机构与幕后团体利用 Meme 币 作为载体,迅速推高市场热度,形成速通盘,让交易者只能被动跟随,而没有足够时间进行理性交流和讨论。如果采用的不是memecoin这种快速入金、快速反馈的形式而采用矿机分红盘入金等形式,这个叙事就不可能fomo起来

利用认知层级差异,建立“零和角度”叙事的目标受众从 AI 领域的专业人士,扩展到 泛认知 AI 是未来的 Crypto 投资者,进一步覆盖 并不真正理解 AI,但知道它是趋势的普通交易者。

由于 AI 话题在 Crypto 圈外部的认知门槛较高,市场中的许多人只能基于“行业大佬都在推 AI 赛道”这一直觉进行 FOMO 投资。

高复制性导致叙事降温AI 作为技术具有极高的可复制性,并不具备长期的稀缺性。

这也解释了为什么AI叙事仅维持了约 3 个月,并随后随着 Deepseek 等传统 AI 项目出圈,搬平了市场的认知差,大量相似的 AI 交易 Agent 出现,叙事FOMO消亡

传播定价数学模型

据此,我们可以抽象出一个叙事的传播定价数学模型,核心是叙事的传播定价 P(d) 随传播距离 d变化的规律,来模拟一个叙事/事件/项目在从发起者向外传播的过程中,从无人问津到人声鼎沸,从趋之若鹜到无人买帐

由于我是专科毕业,感谢ChatGPT,如果你也跟我一样文盲,请直接跳到太长不看总结部分:开源镰刀 Open Rug 25 - 传播定价模型: 猜疑链与真实世界注意力(RWA)

其中:
P0:事件传播原点的初始定价(通常最高)
e−βd:信任衰减因子,控制 FOMO 强度(市场信任度下降的速度)
Sγ:事件的稀缺性(越稀缺,定价下降越慢)
e−Rd:事件的可复制性(越容易复制,定价下降越快)
A(d):事件对不同群体的吸引程度
V(d):人群价值,衡量不同受众在定价过程中可用的资金实力

核心变量解释

1. 信任衰减因子 e−βd
传播距离 d 越远,市场对事件的信任度下降,FOMO 变弱
受认知成本 C(d)影响:认知成本越高,市场越难理解事件,导致信任下降更快(β 变大)
认知成本较低,事件更容易传播,FOMO 持续更久(β变小)

2. 稀缺性因子 Sγ
事件越稀缺,市场愿意维持较高的定价,FOMO 下降速度更慢
如果事件高度稀缺(如 特朗普 发币),叙事定价能在一定时间内维持高位
如果事件不稀缺(如 AI 叙事),市场很快会因供应增加而降温

3. 可复制性因子 e−Rd
事件如果容易被复制,市场对其热度会快速下降
高可复制性事件(如 AI 代币):FOMO 只有一出溜
低可复制性事件(如马斯克发币):叙事定价下降更慢

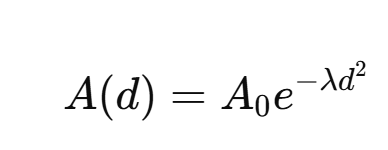
4. 受众吸引度 A(d)

开源镰刀 Open Rug 25 - 传播定价模型: 猜疑链与真实世界注意力(RWA)

不同群体对事件的吸引力不同,决定了 FOMO 的传播范围
影响因素:事件与受众的匹配度(λ)
受众的文化背景、市场经验、交易习惯,λ越大匹配度越低,吸引力越差
可以用高斯分布建模:
事件如果无法吸引更广泛的受众,FOMO 传播会很快终结

5. 人群价值 A(d)
V(d) 代表传播到距离 d处的人群在市场中的交易资金实力。
不同人群的资金实力决定了 FOMO 交易的推动力:早期进入的通常是 高资金 交易者(机构、鲸鱼),对价格的影响力更大 传播到外围后,主要是 散户资金,影响力减弱
假设表达为幂律分布:开源镰刀 Open Rug 25 - 传播定价模型: 猜疑链与真实世界注意力(RWA)

其中:
V0​ 是事件传播原点的初始资金实力(如 VC、鲸鱼)
δ是资金分布衰减因子,控制市场资金的流动方向:
– δ 小(资金流动平稳):外围人群资金实力仍然较强
-δ 大(资金迅速衰减):外围人群主要是小散,FOMO 难以持续

人群价值的影响:

如果 V(d)下降过快,即外围人群都是小资金,那么即使 FOMO 传播了,交易影响力也不强,导致价格支撑力不足。

如果 V(d) 下降缓慢,即外围仍有强资金支撑,FOMO 交易会维持更久。

传播定价模型太长不看总结

虽然这个公式未必精确,但它揭示了一个永恒的市场规律:

📌 任何一个事件,传播距离越远,受众理解成本越高;传播距离越远,受众愿意接受的价格越低。
📌 稀缺、不可复制、针对特定受众的事件,叙事定价下降得较慢,而容易复制、信息复杂的事件,在传播过程中迅速贬值。

🟥 对于镰刀而言,红色阴影部分就是最佳“收割区”。

📉 认知成本曲线与叙事定价线交叉,即代表叙事死亡

开源镰刀 Open Rug 25 - 传播定价模型: 猜疑链与真实世界注意力(RWA)

真实世界注意力 – 最大化传播定价的公约数

我们每时每刻都在为信息买单:

超市大减价、黑五打折

FOMO 上车土狗、炒房

政治运动、乃至战争

有的代价是钱,有的代价是命。

这不是 “Degen vs. Normie” 或 “庞氏 vs. 清真” 的问题,而是 人类注意力经济的底层逻辑。

那么,如何构建一个高叙事定价的传播模型?最大公约数是什么?

这就引出了我自创的概念 —— 真实世界注意力 (Real World Attention, RWA)。

RWA 定义:

最值钱的叙事,必定是在币圈核心高频用户之外,同时能够吸引符合全球平均智商的、具备“病毒式传播”潜质的注意力事件。

它既能确保最广泛的受众,也能覆盖拥有高交易价值的人群。

不信,你可以不看答案,试着回答以下问题

1. 为什么“总统币”“名人币”始终有市场,不论市场好坏?

✅ 这些事件面对的是全球范围的可预期认知群体,而明牌角度的踏空不可接受,从而形成正向猜疑链。

🔹 总统发币:尤其是大国总统,覆盖的认知人群最广,所以不管多割,一定会有人冲

2. 为什么很多非美的艺人发币很惨淡

🔹 受众问题:北美艺人的受众常活跃于币圈平台(如 Twitter),其信息能直接或间接传导到币圈;而非美艺人的受众价值较低。

🔹 传播原点出来的人群因认知成本高,定价自然偏低

3. 为什么同样有名人参与,事件型 Token 比名人币表现更好?(例如 $MAGA、$PNUT、$Jailstool、$Vine 等)

原因有三:

戏剧张力:事件本身更具吸引力,能够跨越币圈吸引所有吃瓜群众,提升事件与不同人群的匹配度。

传播受众 vs. 粉丝群体:传播受众是一个动态过程,是那些被事件激活、做出反应的群体;而名人粉丝是一个静态、固定的值。

名人发币只能在固定人群中激活一小部分,而一个事件则能激活更广泛的群体,扩大传播距离。

稀缺性:事件自带稀缺属性。例如,刘晓庆与毛阿敏虽然同质化,但毛阿敏偷税,而刘晓庆却在60多岁时找了个小30岁的男友——这类事件既稀有又吸睛。

4. 为什么很多复杂的AI、DeFi叙事和复杂的资金盘模式很难做出圈?

✅ 认知成本过高(β 太大)。

在二级市场中,共同认知范围太小,定价低,很难形成正向猜疑链,甚至连有效传播都难以启动,怎会有 FOMO?

5. 为什么在 meme 币中,大盘子 Dev 发新币和大车头上车时会引发 FOMO?

✅ 对于 memecoin 受众来说,这是天然的 正向猜疑链零和场景。
不上车就永远上不了车。

数据与监控工具实时传递信息,对 memecoin 受众而言无需额外认知成本。

唯一问题是,传播到外圈后,外圈受众可能判断自己处于外围,从而选择不入场。

6. 为什么纯清真和技术叙事VC币二级会如此惨淡?

同4.

从某种意义上,Real World Attention这个RWA要比Real World Asset还要有价值,因为形成基于注意力的共识要比形成对资产的共识容易得多。

一个美国人够呛能认可泰国沙缴府乡下一处平房的资产价值;但是如果是当地青少年的tiktok视频成了meme,美国人可能一样能共鸣

对市场与盘总们的启示

臆想靠一个叙事、盘型、制度就能爆发的时代已经过去。无法被传播和市场定价认可的企划,根本等不到”爆火“”出圈“的可能性。

若无法被传播和市场定价认可,任何企划根本等不到“爆火”或“出圈”的机会。

即使身经百战的地推网推团队,如果“没有角度”,推广也难成功。

反之,一个普通项目,若能触发真实世界注意力,莫名其妙就可能爆火。

起盘,你需要这样规划传播:

划界限:若项目主制度难以满足传播模型,需划出一部分专门做传播,确保不影响主制度。

定制度:采用 meme 或 NFT 这种能快速上涨、不给交流时间的资产作为载体;

或者采用增量定价互助盘(如 VDS、泰山众筹、Fomo3D)。

选角度:按照 RWA 逻辑,选择信息复杂度低、覆盖受众广的叙事。

做事件:制造具有戏剧张力的事件,以此为载体进行传播,把入金设计成一个真实世界注意力事件(比如

“八旬老太意外中奖千万”或“TST dev 地址加池子参与联手坐庄,盘古社区制霸 BSC”)。

我们以 @ethsign 举例:

EthSign本身的叙事是非常难以传销的类型: to B/to G应用:
– Token Table 代币分发平台
– Docusign的币圈平替版本
– 数字身份

站在散户尤其是年轻散户角度,整个项目写满了两个字: 无聊

@realyanxin 很聪明的一点是,从设计上直接切分出一个”橙色王朝”(听着像东北洗浴)的to C端主题。

为了搞传播形成正向猜疑链,Sign选择了爆拉一个NFT和空投前活动作为载体。空投也选择了不可farm的绝对黑箱机制,尽可能降低交流可能

通过1600万融资公告+Binance Labs投资+大量用橙色眼镜上车KOL并添加元素病毒式传播+搞社区邪教活动,把整个项目to C传递的信息坍缩成一个meme,最大化币圈可见的受众匹配度,降低认知成本

而覆盖的币圈大KOL为主的人群本身也是相对较高交易价值的人群

这已经是这种类型非to C项目可以选择的最优解了。即使做了这么多设计,Sign仍然需要花大量的人力去高强度做社区活动和教育,去人工提升人群匹配度,降低外围人群认知成本,尽可能的最大化传播距离。好在Sign团队有一帮事件营销人才,执行时真的可以获取到注意力。

而如果你是一个传统CX项目

你的事件传播核心都是社区长。币圈项目覆盖KOL可能需要一个优秀的agency两天约电话完成

而CX社区长则不管关系多熟,基本都需要线下见面讲课完了招待吃饭才能开始传播和爆单入金,即使是最内圈认知成本都很大(β很大)。而到社区长再朝自己的体系下线传播时,这个过程还要走一遍。

在年轻人早已不再高看”体系、组织“当下,这种方式向外圈传播的成本会更高。这就意味着要投入更多的教育资源,意味着项目从原点开始传播的成本又上一个台阶,形成了一个传播恶性循环

所以你需要做的是:

降低模式以及叙事的复杂度,控制在3句话能解释的范围内: 是什么?怎么玩?怎么风控
设计一个无需解释的零和场景以建立FOMO。这个场景主要用于做传播,可以是独立的完整产品,也可以是更大的盘子设计的入金口

把入金设计成一个真实世界注意力事件。比如“八旬老太被孙子拉着玩盘子,意外中奖千万,孙子眼馋与奶奶对簿公堂” “TST dev地址也来加池子共同坐庄,盘古社区制霸BSC”

如果你是纯meme dev或者meme基建

这里的 meme 指的是任何链上无许可发射、筹码分发无机制偏袒、无价格发现人为干预的低流动性资产类型。

而 Dev 或基建则指与此类别资产发射相关的发起方。

根据传播定价模型和正向猜疑链,真正有用的只有三种资源:

链上主动做市商:懂得掌控节奏,高控筹做速通盘。

网络推手:像 Enron 币的 Connor Gaydos、把盖特威克机场改成卢顿机场的 Abbey Desmond,或中国的“郭美美”、“凤姐”事件策划人立二拆四——这些人能真正搅动真实世界注意力。

精准交易类 KOL 及大覆盖公共传媒/KOL:他们能够激活广泛的市场共识。
其他币圈传统的“基本面叙事”基本不重要——传播并不靠他们完成,只是作为一个故事卖给交易所、做市商和行业大 V

写在最后

我已经意识到,任何我发出去的模型,都会成为显学,导致圈内竞争门槛的提高。但是我真的受够了大群自己拍脑袋想出个叙事来找我给他出主意(夸夸)的项目方。本文的另一个目的也是希望各位项目方能熟读理解,在约我电话之前

如果你不是项目方而是正在努力做个人IP的KOL wannabe,坚持下去,并且不断的去搞事,搅动注意力。这其实也是我当时认可 @EnHeng456 和 @Elizabethofyou 最主要的点:他们真的很会搞事情吸引注意力。这是非常稀有的能力。多实践,你也可以做出自己的“Enron”

王侯将相,宁有种乎!

© 版权声明

相关文章

暂无评论

暂无评论...